Math Question #2
Here is the second one:
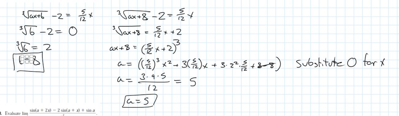
Start by moving the x term to the right-hand side and setting x=0. This is the first equation for b.
Then with b in place, get the second equation. Isolate a and substitute 0 for x. This gets

"Phrase" für exakte Treffer, r"regex" für Muster (oder ').Here is the second one:
Start by moving the x term to the right-hand side and setting x=0. This is the first equation for b.
Then with b in place, get the second equation. Isolate a and substitute 0 for x. This gets
