Math Question #1
I've been helping out with high school math lately, and some of the questions are quite interesting.
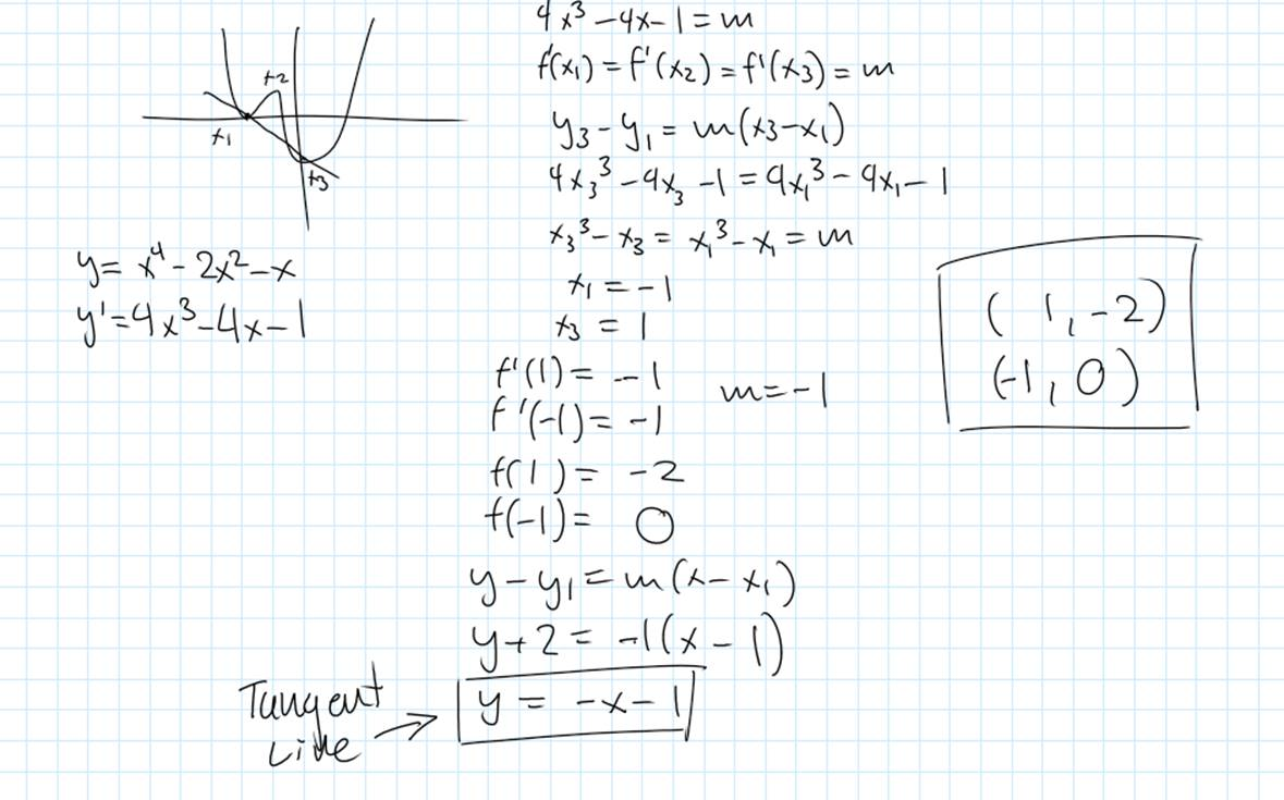
Check this one out:
The key is to derive two equations from the derivative. With a fourth-degree polynomial, we get three points where the slope is the same, but only two of them share a common tangent line.
After that, everything falls into place.
