Coin slot cap tool
My Nikon F2 has a battery cap that can be opened or closed using a coin.
To avoid scratching the cap using a coin or any other metal shaped object, I want to fabricate a plastic tool specifically designed for this purpose. This tool would allow me to open and close the cap without causing any scratches.
The only measurable aspects of the slot are its length and depth (a is half length, b is depth).
However, I need the radius: r=f(a,b)
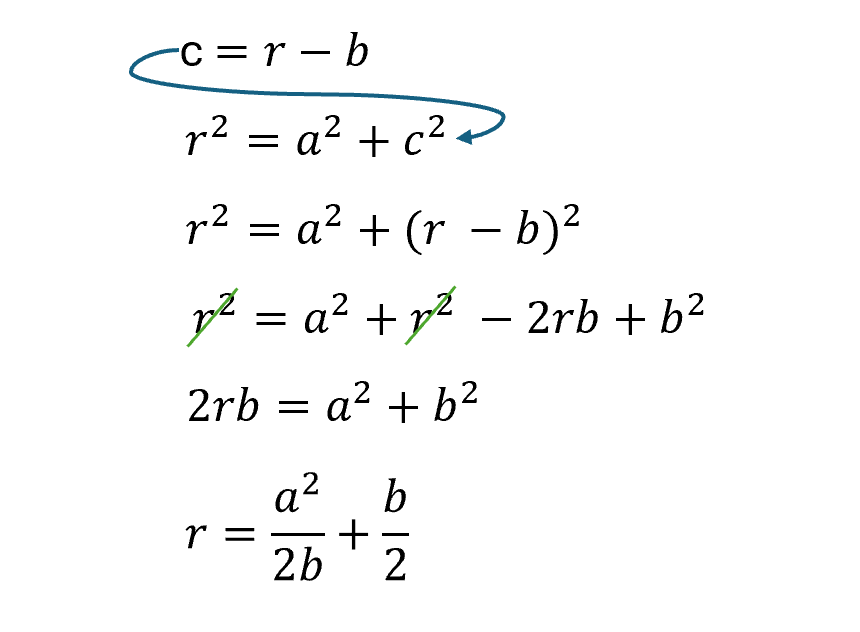
The radius r and side a form a right-angled triangle:

The hypotenuse (longest side) is also r, so c = r - b.
Using the Pythagorean theorem:
All this gets a radius r of 22,9mm.
Machined from a 50mm plastic round stock on the lathe, the middle ridge has precisely the calculated diameter of 45.8mm.